转自:https://juejin.cn/post/6844904002098823181
仅做个人备份,浏览请看原文
目录
官方集群引入slot的概念进行数据分片,之后将数据slot分配到多个Master结点,Master结点再配置N个从结点,从而组成了多实例sharding版本的官方集群架构。
Redis Cluster 是一个可以在多个 Redis 节点之间进行数据共享的分布式集群,在服务端,通过节点之间的特殊协议进行通讯,这个特殊协议就充当了中间层的管理部分的通信协议,这个协议称作Gossip流言协议。
分布式系统一致性协议的目的就是为了解决集群中多结点状态通知的问题,是管理集群的基础。
如图展示了基于Gossip协议的官方集群架构图:

Redis Cluster 原理及协议
结点状态信息结构
Cluster中的每个节点都维护一份在自己看来当前整个集群的状态,主要包括:
- 当前集群状态
- 集群中各节点所负责的slots信息,及其migrate状态
- 集群中各节点的master-slave状态
- 集群中各节点的存活状态及不可达投票
也就是说上面的信息,就是集群中Node相互八卦传播流言蜚语的内容主题,而且比较全面,既有自己的更有别人的,这么一来大家都相互传,最终信息就全面而且准确了,区别于拜占庭帝国问题,信息的可信度很高。
基于Gossip协议当集群状态变化时,如新节点加入、slot迁移、节点宕机、slave提升为新Master,我们希望这些变化尽快的被发现,传播到整个集群的所有节点并达成一致。节点之间相互的心跳(PING,PONG,MEET)及其携带的数据是集群状态传播最主要的途径。
Gossip协议的概念
gossip 协议(gossip protocol)又称 epidemic 协议(epidemic protocol),是基于流行病传播方式的节点或者进程之间信息交换的协议。
在分布式系统中被广泛使用,比如我们可以使用 gossip 协议来确保网络中所有节点的数据一样。
gossip protocol 最初是由施乐公司帕洛阿尔托研究中心(Palo Alto Research Center)的研究员艾伦·德默斯(Alan Demers)于1987年创造的。 www.iteblog.com/archives/25…
Gossip协议已经是P2P网络中比较成熟的协议了。Gossip协议的最大的好处是,即使集群节点的数量增加,每个节点的负载也不会增加很多,几乎是恒定的。这就允许Consul管理的集群规模能横向扩展到数千个节点。
Gossip算法又被称为反熵(Anti-Entropy),熵是物理学上的一个概念,代表杂乱无章,而反熵就是在杂乱无章中寻求一致,这充分说明了Gossip的特点:在一个有界网络中,每个节点都随机地与其他节点通信,经过一番杂乱无章的通信,最终所有节点的状态都会达成一致。每个节点可能知道所有其他节点,也可能仅知道几个邻居节点,只要这些节可以通过网络连通,最终他们的状态都是一致的,当然这也是疫情传播的特点。 www.backendcloud.cn/2017/11/12/…
上面的描述都比较学术,其实Gossip协议对于我们吃瓜群众来说一点也不陌生,Gossip协议也成为流言协议,说白了就是八卦协议,这种传播规模和传播速度都是非常快的,你可以体会一下。所以计算机中的很多算法都是源自生活,而又高于生活的。
Gossip协议的使用
Redis 集群是去中心化的,彼此之间状态同步靠 gossip 协议通信,集群的消息有以下几种类型:
- Meet 通过「cluster meet ip port」命令,已有集群的节点会向新的节点发送邀请,加入现有集群。
- Ping 节点每秒会向集群中其他节点发送 ping 消息,消息中带有自己已知的两个节点的地址、槽、状态信息、最后一次通信时间等。
- Pong 节点收到 ping 消息后会回复 pong 消息,消息中同样带有自己已知的两个节点信息。
- Fail 节点 ping 不通某节点后,会向集群所有节点广播该节点挂掉的消息。其他节点收到消息后标记已下线。
由于去中心化和通信机制,Redis Cluster 选择了最终一致性和基本可用。
例如当加入新节点时(meet),只有邀请节点和被邀请节点知道这件事,其余节点要等待 ping 消息一层一层扩散。除了 Fail 是立即全网通知的,其他诸如新节点、节点重上线、从节点选举成为主节点、槽变化等,都需要等待被通知到,也就是Gossip协议是最终一致性的协议。
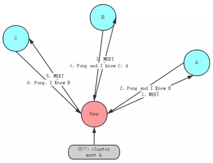
由于 gossip 协议对服务器时间的要求较高,否则时间戳不准确会影响节点判断消息的有效性。另外节点数量增多后的网络开销也会对服务器产生压力,同时结点数太多,意味着达到最终一致性的时间也相对变长,因此官方推荐最大节点数为1000左右。如图展示了新加入结点服务器时的通信交互图:

总起来说Redis官方集群是一个去中心化的类P2P网络,P2P早些年非常流行,像电驴、BT什么的都是P2P网络。在Redis集群中Gossip协议充当了去中心化的通信协议的角色,依据制定的通信规则来实现整个集群的无中心管理节点的自治行为。
基于Gossip协议的故障检测
集群中的每个节点都会定期地向集群中的其他节点发送PING消息,以此交换各个节点状态信息,检测各个节点状态:在线状态、疑似下线状态PFAIL、已下线状态FAIL。
自己保存信息:当主节点A通过消息得知主节点B认为主节点D进入了疑似下线(PFAIL)状态时,主节点A会在自己的clusterState.nodes字典中找到主节点D所对应的clusterNode结构,并将主节点B的下线报告添加到clusterNode结构的fail_reports链表中,并后续关于结点D疑似下线的状态通过Gossip协议通知其他节点。
一起裁定:如果集群里面,半数以上的主节点都将主节点D报告为疑似下线,那么主节点D将被标记为已下线(FAIL)状态,将主节点D标记为已下线的节点会向集群广播主节点D的FAIL消息,所有收到FAIL消息的节点都会立即更新nodes里面主节点D状态标记为已下线。
最终裁定:将 node 标记为 FAIL 需要满足以下两个条件:
- 有半数以上的主节点将 node 标记为 PFAIL 状态。
- 当前节点也将 node 标记为 PFAIL 状态。
也就是说当前节点发现其他结点疑似挂掉了,那么就写在自己的小本本上,等着通知给其他好基友,让他们自己也看看,最后又一半以上的好基友都认为那个节点挂了,并且那个节点自己也认为自己挂了,那么就是真的挂了,过程还是比较严谨的。
原文链接:https://blog.csdn.net/chushoufengli/article/details/115243527
原创文章,作者:优速盾-小U,如若转载,请注明出处:https://www.cdnb.net/bbs/archives/16342